Home
Advertisement
Home
People & Blogs
A lot of synthetic division...
A lot of synthetic division...
Punti
January 25, 2020
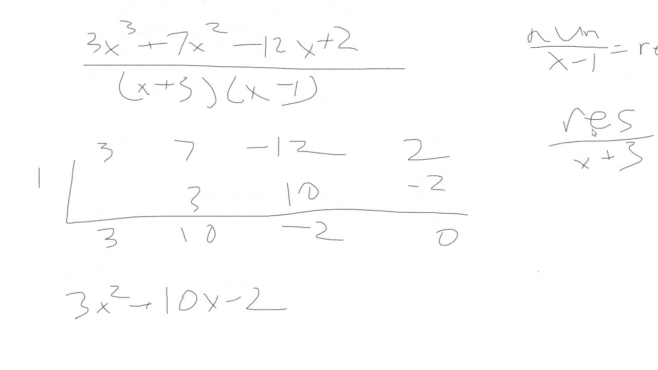
I will be solving a math question that uses a few different problem solving skills
A lot of synthetic division...
A lot of synthetic division...
A lot of synthetic division...
division...
Post a Comment
0 Comments
Popular Videos
Top 5 - Shooting Drills to Improve your Shooting Without a Hoop!
August 11, 2019
10 MUST Know Bible Study Methods & SOAP Isn't One of Them! | Crazy Simple Truth
January 15, 2020
Alejandro Aranda & Ben Harper: “There Will Be A Light” EMOTIONAL Performance! | American Idol 2019
April 14, 2019
The loveliest tune ever written immortalises Professor Bob Carter
August 16, 2019
The Silence of the Waves Suggests That Pushpa (Maryam) Is Also Going to London.
November 21, 2019
Dinosaurs & Dragons!! - One Piece Discussion
August 16, 2019
Borderland 3 NEW GLITCH|EXPLOIT! Get UNLIMITED Storage Space!! Store Unlimited Items Instantly!
September 25, 2019
Archive
January 2020
4463
December 2019
6137
November 2019
4620
October 2019
3094
September 2019
4017
August 2019
5375
July 2019
3032
June 2019
3437
May 2019
3340
April 2019
2524
0 Comments